Introducción
La espectroscopia es una gran herramienta astronómica que permite no solo conocer la composición de estrellas, galaxias y el medio interestelar, sino que también permite estimar velocidades, masas, evolución e incluso propone criterios de clasificación para las propias estrellas. Sin embargo, la espectroscopia convencional se centra en el rango del visual, en parte por ser la región del espectro que más atraviesa la atmósfera de nuestro planeta y aquella en la que se basa nuestra visión
A continuación estudiaremos algunas características del espectro en el ultravioleta y/o infrarrojo como líneas resultantes, regiones especificas donde cada tipo de radiación es prominente, criterios de clasificación que puedan presentarse y veremos algunos espectros de cada uno.
Espectroscopia UV
El espectro UV es caracterizado por longitudes de onda corta (menor a la longitud más corta del visible, generalmente estimada en 3800 Å) y por ser muy energética. Sin embargo, la radiación ultravioleta es la más afectada por la atmósfera terrestre, que la bloquea casi en su totalidad lo cual hace que su estudio sea muy complejo sin la asistencia de telescopios fuera de la atmósfera.
Elementos y Líneas prominentes
Para esta monografía consideraremos el rango del UV cercano con λ entre 1200 Å y 1900 Å [1] (a partir de los datos de Walborn, N. & Nichols, Joy & Panek, R.. (1985)). Podemos ver a modo de ejemplo, varias de las líneas útiles para clasificación con ayuda de la base de datos de líneas espectrales "Atomic spectral line database from CD-ROM 23 of R. L. Kurucz."[2] con los parámetros que se encuentran debajo de la siguiente tabla.
-------------------------------------------------------------------------------
Wl / nm log_gf Elem. Element E_lower_lev. J E_upper_lev. J Ref.
vac<200nm<air (Code) (Name) / cm^(-1) lower / cm^(-1) upper
-------------------------------------------------------------------------------
121.8344 -5.824 8.04 O V 0.000 0.0 82078.600 1.0 NS
121.8665 -10.132 8.02 O III 60324.790 2.0 142381.800 1.0 BDF
121.8677 -9.660 8.02 O III 60324.790 2.0 142381.000 2.0 BDF
123.8821 -0.508 7.04 N V 0.000 0.5 80721.900 1.5 W
124.2804 -0.808 7.04 N V 0.000 0.5 80463.200 0.5 W
124.7383 -0.157 6.02 C III 102352.040 1.0 182519.880 0.0 FT
130.0856 -5.378 8.02 O III 43185.740 0.0 120058.200 1.0 BDF
130.8705 -1.200 6.02 C III 182519.880 0.0 258931.290 1.0 FT
135.9405 -0.766 26.04 Fe V 186433.600 1.0 259995.200 1.0 K88
136.4821 -0.695 26.04 Fe V 186725.500 2.0 259995.200 1.0 K88
136.5575 -0.219 26.04 Fe V 186725.500 2.0 259954.700 3.0 K88
137.0943 -0.477 26.04 Fe V 186433.600 1.0 259376.100 2.0 K88
137.1296 -0.320 8.04 O V 158797.700 1.0 231721.400 2.0 FT
137.3679 0.188 26.04 Fe V 187157.500 3.0 259954.700 3.0 K88
137.6451 0.049 26.04 Fe V 186725.500 2.0 259376.100 2.0 K88
138.0112 -0.140 26.04 Fe V 186433.600 1.0 258891.500 1.0 K88
138.4357 -2.248 26.04 Fe V 187719.000 4.0 259954.700 3.0 K88
138.4685 -1.668 26.04 Fe V 187157.500 3.0 259376.100 2.0 K88
138.5285 -2.609 26.04 Fe V 187157.500 3.0 259344.800 4.0 K88
138.5312 -0.510 26.04 Fe V 186433.600 1.0 258619.500 0.0 K88
138.5694 -0.818 26.04 Fe V 186725.500 2.0 258891.500 1.0 K88
138.7259 -4.558 7.02 N III 131004.300 0.5 203088.900 1.5 NS2
138.9767 -2.129 26.04 Fe V 186725.500 2.0 258680.000 3.0 K88
139.4799 -1.778 26.04 Fe V 186433.600 1.0 258128.500 2.0 K88
139.6145 -1.322 26.04 Fe V 187719.000 4.0 259344.800 4.0 K88
139.8161 -1.401 26.04 Fe V 187157.500 3.0 258680.000 3.0 K88
140.0501 -2.342 26.04 Fe V 186725.500 2.0 258128.500 2.0 K88
140.2353 -1.416 26.04 Fe V 186433.600 1.0 257742.300 1.0 K88
140.8118 -0.246 26.04 Fe V 186725.500 2.0 257742.300 1.0 K88
140.9026 0.080 26.04 Fe V 187157.500 3.0 258128.500 2.0 K88
140.9225 0.281 26.04 Fe V 187719.000 4.0 258680.000 3.0 K88
140.9453 0.428 26.04 Fe V 188395.300 5.0 259344.800 4.0 K88
143.0572 0.597 26.04 Fe V 188395.300 5.0 258297.400 6.0 K88
144.0528 0.448 26.04 Fe V 187719.000 4.0 257138.000 5.0 K88
144.8847 0.309 26.04 Fe V 187157.500 3.0 256177.900 4.0 K88
145.4700 -0.313 26.04 Fe V 188395.300 5.0 257138.000 5.0 K88
145.6162 0.173 26.04 Fe V 186725.500 2.0 255399.200 3.0 K88
146.0730 -0.212 26.04 Fe V 187719.000 4.0 256177.900 4.0 K88
146.2636 0.041 26.04 Fe V 186433.600 1.0 254803.300 2.0 K88
146.5380 -0.260 26.04 Fe V 187157.500 3.0 255399.200 3.0 K88
146.8908 -0.451 26.04 Fe V 186725.500 2.0 254803.300 2.0 K88
147.5305 -1.661 26.04 Fe V 188395.300 5.0 256177.900 4.0 K88
147.7537 -1.457 26.04 Fe V 187719.000 4.0 255399.200 3.0 K88
147.8288 -1.559 26.04 Fe V 187157.500 3.0 254803.300 2.0 K88
154.3236 -0.311 26.04 Fe V 195196.300 2.0 259995.200 1.0 K88
154.4201 -2.402 26.04 Fe V 195196.300 2.0 259954.700 3.0 K88
154.8187 -0.423 6.03 C IV 0.000 0.5 64591.700 1.5 WAR
155.0772 -0.723 6.03 C IV 0.000 0.5 64484.000 0.5 WAR
155.8123 -1.947 26.04 Fe V 195196.300 2.0 259376.100 2.0 K88
156.1970 -2.227 26.04 Fe V 195933.000 3.0 259954.700 3.0 K88
156.9977 -1.348 26.04 Fe V 195196.300 2.0 258891.500 1.0 K88
157.5207 -3.062 26.04 Fe V 195196.300 2.0 258680.000 3.0 K88
157.6216 -1.229 26.04 Fe V 195933.000 3.0 259376.100 2.0 K88
157.6994 -4.484 26.04 Fe V 195933.000 3.0 259344.800 4.0 K88
158.4382 -1.647 26.04 Fe V 196838.600 4.0 259954.700 3.0 K88
158.9012 -1.279 26.04 Fe V 195196.300 2.0 258128.500 2.0 K88
159.3702 -1.390 26.04 Fe V 195933.000 3.0 258680.000 3.0 K88
159.8823 -0.572 26.04 Fe V 195196.300 2.0 257742.300 1.0 K88
159.9841 -1.807 26.04 Fe V 196838.600 4.0 259344.800 4.0 K88
160.7833 -0.678 26.04 Fe V 195933.000 3.0 258128.500 2.0 K88
161.7040 -0.932 26.04 Fe V 196838.600 4.0 258680.000 3.0 K88
165.8391 -1.612 26.04 Fe V 196838.600 4.0 257138.000 5.0 K88
165.9892 -1.644 26.04 Fe V 195933.000 3.0 256177.900 4.0 K88
166.0809 -5.390 8.02 O III 113.178 1.0 60324.790 2.0 KP
166.1050 -1.905 26.04 Fe V 195196.300 2.0 255399.200 3.0 K88
166.6150 -4.820 8.02 O III 306.174 2.0 60324.790 2.0 KP
167.7655 -2.287 26.04 Fe V 195196.300 2.0 254803.300 2.0 K88
168.1628 -2.804 26.04 Fe V 195933.000 3.0 255399.200 3.0 K88
168.5224 -3.612 26.04 Fe V 196838.600 4.0 256177.900 4.0 K88
169.8649 -3.441 26.04 Fe V 195933.000 3.0 254803.300 2.0 K88
170.7633 -3.864 26.04 Fe V 196838.600 4.0 255399.200 3.0 K88
174.6823 -7.786 7.02 N III 0.000 0.5 57246.800 1.5 NS2
174.7848 -0.588 7.02 N III 145875.700 0.5 203088.900 1.5 NS2
174.8646 -6.508 7.02 N III 0.000 0.5 57187.100 0.5 NS2
174.9674 -6.160 7.02 N III 174.400 1.5 57327.900 2.5 NS2
175.1218 -1.298 7.02 N III 145985.800 1.5 203088.900 1.5 NS2
175.1657 -0.336 7.02 N III 145985.800 1.5 203074.600 2.5 NS2
175.2160 -6.964 7.02 N III 174.400 1.5 57246.800 1.5 NS2
175.3995 -6.474 7.02 N III 174.400 1.5 57187.100 0.5 NS2
179.2346 -7.506 7.02 N III 131004.300 0.5 186797.100 1.5 N
180.9454 -2.809 26.04 Fe V 204729.900 1.0 259995.200 1.0 K88
181.5235 -4.396 8.04 O V 158797.700 1.0 213887.000 2.0 NS
181.7528 -3.294 26.04 Fe V 204975.400 2.0 259995.200 1.0 K88
181.8866 -1.986 26.04 Fe V 204975.400 2.0 259954.700 3.0 K88
182.4135 -6.304 8.04 O V 158797.700 1.0 213618.200 1.0 NS
182.9331 -5.665 8.04 O V 158797.700 1.0 213462.500 0.0 NS
182.9953 -2.044 26.04 Fe V 204729.900 1.0 259376.100 2.0 K88
183.8212 -1.808 26.04 Fe V 204975.400 2.0 259376.100 2.0 K88
184.6327 -1.704 26.04 Fe V 204729.900 1.0 258891.500 1.0 K88
185.4734 -2.162 26.04 Fe V 204975.400 2.0 258891.500 1.0 K88
185.5646 -1.933 26.04 Fe V 204729.900 1.0 258619.500 0.0 K88
186.2038 -1.492 26.04 Fe V 204975.400 2.0 258680.000 3.0 K88
187.2708 -2.116 26.04 Fe V 204729.900 1.0 258128.500 2.0 K88
188.1358 -1.853 26.04 Fe V 204975.400 2.0 258128.500 2.0 K88
188.6351 -2.314 26.04 Fe V 204729.900 1.0 257742.300 1.0 K88
189.5127 -2.760 26.04 Fe V 204975.400 2.0 257742.300 1.0 K88
Number of lines in output : 96
Parameter set used in search:
Lower wavelength limit: 120.0000 nm
Upper wavelength limit: 190.0000 nm
Lower limit on log gf: -18.000
Upper limit on log gf: 3.000
Lower limit on energy for lower level: 0.000 cm^-1
Upper limit on energy for lower level: 205000.000 cm^-1
Lower limit on energy for upper level: 0.000 cm^-1
Upper limit on energy for upper level: 260000.000 cm^-1
Element list:
He II ( = 2.01 )
C III ( = 6.02 )
C IV ( = 6.03 )
N III ( = 7.02 )
N V ( = 7.04 )
O III ( = 8.02 )
O V ( = 8.04 )
Si VI ( = 14.05 )
Fe V ( = 26.04 )
Search program by Claas Heise (heise@fz.telekom.de), Jan 17, 1996
Utilidades: Clasificación estelar por espectros UV.
El espectro UV es más prominente en estrellas más calientes como las de tipo O. En consecuencia, resulta lógico pensar que el espectro UV de estas estrellas permita una distinción más precisa entre las diferentes estrellas de este tipo. En el trabajo [1] se propone una variedad de rasgos de los espectros que permiten una diferenciación entre ellos. Algunos ejemplos son:
Enanas (V):

Fig. 1 Espectros UV de las estrellas tipo O6.5 en distintas clases de luminosidad. Notemos como el perfil de las líneas Si IV de 1394 y 1403 Å (que refleja los efectos del viento estelar) presenta una fuerte dependencia positiva con la clase de luminosidad.

Fig. 2 Espectros UV de una estrella O6, dos estrellas O6.5, una estrella O7 y una O7.5 en orden decreciente. Notemos como la línea C IV de 1548 y 1551 Å pierde fuerza rápidamente entre O6.5 y O7.5
Otras líneas significantes para la clasificación de estrellas O Enanas:
- La líneas Fe V de 1429 y 1430 Å permiten distinguir entre estrellas O3/O4 y estrellas O5 en adelante. En estrellas O3 y O4 estas líneas se presentan con (aproximadamente) la misma intensidad, mientras que de O5 en adelante la líneas de 1430 Å es más profunda que la líneas 1429 Å.
- Al igual que las líneas de C IV, las líneas de N V de 1239 y 1243 Å pierden fuerza rápidamente entre O6.5 y O7.5 y de hecho desaparecen para O8.
- La líneas C III de 1426 y 1428 Å ganan fuerza relativas a la línea Fe V 1430 Å en estrellas O7.5 a B0.
Gigantes (III):

Ref. 3 Espectro de estrellas gigantes de tipo O3 a O7.5. Notemos en especial el perfil de la línea de O V de 1371 Å que es distintivo de las estrellas O3 III, causado por los vientos estelares. También resaltan los bajos efectos del viento estelar sobre las líneas Si IV de 1394 y 1403 Å para estrellas O3 a O5; de O6 en adelante ya se empiezan a apreciar estos efectos. Véase también que la ultima estrella de la lista ξ Per presenta unas líneas Si IV de 1394 y 1403 Å anormales en comparación a las otras gigantes.
Supergigantes (I)

Fig. 4 Se muestra el espectro de estrellas supergigantes O3 a O5. Notemos como el perfil de Si IV que ya vimos en las estrellas anteriores es más débil en estrellas O3 que en las O4. También es notable el perfil que muestra en O V de 1371 Å propio únicamente de las O3.

Fig. 5 Podemos ver como O3 posee unas débiles líneas de N III en 1748 y 1752 Å, que señalan una mayor ionización que las estrellas O4. Veamos también el distintivo perfil de He II 1640 Å que poseen las estrellas O3 a O5.
Algunas otras características de las supergigantes son:
- Un importante criterio de clasificación: Todas las estrellas supergigantes pasando a O4 poseen perfiles Si IV saturados, sin embargo:
- O3 y O4 poseen perfiles SI IV más débiles relativos a C IV 1548 Y 1551 Å
- O5 y O6 poseen perfiles Si IV similares a C IV
- O6.5 a O 8.5 poseen perfiles Si IV fuertes relativos a C IV
Espectroscopia IR
El espectro IR cubre longitudes de onda superiores a 7800 Å y se divide en Infrarrojo, Microondas y Radio. Mientras que en cierto rango el Infrarrojo y el Radio pueden penetrar la atmosfera, las Microondas se ven frenadas en su paso por la atmosfera terrestre. Sin embargo, la capacidad del infrarrojo de atravesar, no solo la atmosfera, sino también gran parte del material interestelar lo vuelve una gran herramienta para el estudio del espacio.
Elementos y Líneas prominentes
El rango que estudia la sonda espacial GAIA es entre 8490 y 8750 Å, en el IR cercano. Este rango esta centrado en la línea Ca II 8662.1 Å; algunos elementos con líneas prominentes son Ca II, Fe I, Ti I, acompañados por algunas absorciones relevantes de Mg I, Si I, Cr I, N I, Co I, Ni I, Mn I y S I. Nuevamente, extraemos una lista de las líneas de estos elementos en este rango, con condiciones explicitas indicadas abajo:
-------------------------------------------------------------------------------
Wl / nm log_gf Elem. Element E_lower_lev. J E_upper_lev. J Ref.
vac<200nm<air (Code) (Name) / cm^(-1) lower / cm^(-1) upper
-------------------------------------------------------------------------------
849.4450 -2.506 22.00 Ti I 14028.435 2.0 25797.594 3.0 K
849.5543 -1.477 22.00 Ti I 27498.170 3.0 39265.815 2.0 K
849.6010 -1.118 22.00 Ti I 18145.285 2.0 29912.283 3.0 K
849.8023 -1.312 20.01 Ca II 13650.190 1.5 25414.400 1.5 BWL
849.9619 -2.832 22.00 Ti I 18145.285 2.0 29907.286 2.0 K
850.3357 -2.713 22.00 Ti I 29914.736 3.0 41671.567 2.0 K
851.4072 -2.229 26.00 Fe I 17726.987 2.0 29469.022 2.0 FMW
851.5109 -2.073 26.00 Fe I 24338.765 3.0 36079.370 3.0 O
851.8028 -1.250 22.00 Ti I 17215.389 5.0 28951.971 4.0 K
851.8352 -1.089 22.00 Ti I 15156.800 4.0 26892.935 3.0 K
853.1382 -2.575 22.00 Ti I 13981.773 1.0 25699.984 2.0 K
853.9342 -1.297 22.00 Ti I 18061.386 1.0 29768.674 2.0 K
854.2091 -0.362 20.01 Ca II 13710.880 2.5 25414.400 1.5 BWL
854.3719 -2.543 24.00 Cr I 21840.811 3.0 33542.102 2.0 K88
854.8088 -1.187 22.00 Ti I 15108.110 3.0 26803.420 2.0 K
854.8851 -2.066 24.00 Cr I 21847.836 2.0 33542.102 2.0 K88
855.0537 -2.841 22.00 Ti I 14105.634 3.0 25797.594 3.0 K
855.3167 -2.315 24.00 Cr I 27222.944 2.0 38911.309 3.0 K88
855.5504 -2.826 24.00 Cr I 21856.930 1.0 33542.102 2.0 K88
856.0500 -2.188 22.00 Ti I 26803.420 2.0 38481.773 1.0 K
856.5490 -2.655 22.00 Ti I 14028.435 2.0 25699.984 2.0 K
856.9739 -1.618 22.00 Ti I 17995.486 0.0 29661.248 1.0 K
857.1982 -2.459 22.00 Ti I 27750.136 5.0 39412.846 5.0 K
857.4525 -1.796 27.00 Co I 21780.470 5.5 33439.720 4.5 FHSW
857.5276 -1.387 27.00 Co I 22475.360 4.5 34133.590 3.5 FHSW
857.8425 -2.613 22.00 Ti I 13981.773 1.0 25635.723 1.0 K
858.1116 -2.299 22.00 Ti I 27498.983 3.0 39149.278 2.0 K
858.2258 -2.133 26.00 Fe I 24118.817 4.0 35767.562 4.0 O
859.5637 -2.946 22.00 Ti I 13981.773 1.0 25612.387 0.0 K
859.8174 -2.242 22.00 Ti I 18287.554 4.0 29914.736 3.0 K
860.0980 -1.886 22.00 Ti I 18145.285 2.0 29768.674 2.0 K
860.6997 -2.634 22.00 Ti I 14028.435 2.0 25643.699 3.0 K
861.1803 -1.900 26.00 Fe I 22946.814 1.0 34555.595 0.0 FMW
861.8083 -0.903 22.00 Ti I 29768.674 2.0 41368.996 3.0 K
861.8425 -1.802 22.00 Ti I 18061.386 1.0 29661.248 1.0 K
861.8559 -1.969 22.00 Ti I 27614.678 4.0 39214.360 3.0 K
862.1601 -2.321 26.00 Fe I 23783.617 5.0 35379.206 5.0 O
863.0862 -2.057 22.00 Ti I 26892.935 3.0 38476.082 2.0 K
863.6226 -2.747 24.00 Cr I 21847.836 2.0 33423.788 1.0 K88
864.1475 -0.718 22.00 Ti I 29912.283 3.0 41481.204 4.0 K
864.3016 -2.732 24.00 Cr I 21856.930 1.0 33423.788 1.0 K88
865.2237 -2.484 24.00 Cr I 27176.110 1.0 38730.642 2.0 K88
865.3857 -1.915 22.00 Ti I 27750.136 5.0 39302.504 4.0 K
866.1075 -2.829 27.00 Co I 21920.090 2.5 33462.830 2.5 K88
866.1900 -1.537 26.00 Fe I 17927.381 1.0 29469.022 2.0 O
866.2141 -0.623 20.01 Ca II 13650.190 1.5 25191.510 0.5 BWL
866.4585 -2.971 22.00 Ti I 14105.634 3.0 25643.699 3.0 K
866.8295 -0.959 22.00 Ti I 29661.248 1.0 41194.374 2.0 K
867.4746 -1.850 26.00 Fe I 22838.321 2.0 34362.871 1.0 FMW
867.5372 -1.669 22.00 Ti I 8602.342 2.0 20126.060 3.0 MFW
868.2980 -1.941 22.00 Ti I 8492.421 1.0 20006.042 2.0 MFW
868.4232 -2.008 22.00 Ti I 13981.773 1.0 25493.734 2.0 K
868.5621 -2.419 22.00 Ti I 29971.084 4.0 41481.204 4.0 K
868.7450 -1.854 24.00 Cr I 27222.944 2.0 38730.642 2.0 K88
868.8624 -1.212 26.00 Fe I 17550.180 3.0 29056.322 3.0 FMW
868.8852 -2.212 22.00 Ti I 24694.892 4.0 36200.732 5.0 K
869.1980 -2.933 22.00 Ti I 27025.658 4.0 38527.358 4.0 K
869.2331 -2.295 22.00 Ti I 8436.617 0.0 19937.852 1.0 MFW
869.7041 -1.408 22.00 Ti I 29986.197 3.0 41481.204 4.0 K
871.9576 -1.867 22.00 Ti I 14028.435 2.0 25493.734 2.0 K
872.2306 -2.078 22.00 Ti I 29907.286 2.0 41368.996 3.0 K
872.2590 -1.277 22.00 Ti I 27498.170 3.0 38959.507 4.0 K
872.5791 -2.418 22.00 Ti I 13981.773 1.0 25438.906 2.0 K
872.6110 -1.942 22.00 Ti I 29912.283 3.0 41368.996 3.0 K
872.7979 -2.503 22.00 Ti I 29914.736 3.0 41368.996 3.0 K
872.9144 -2.951 26.00 Fe I 27543.001 1.0 38995.733 1.0 K94
873.0497 -2.024 22.00 Ti I 27025.658 4.0 38476.615 3.0 K
873.4712 -2.384 22.00 Ti I 8492.421 1.0 19937.852 1.0 MFW
874.3529 -2.464 24.00 Cr I 27163.108 0.0 38596.997 1.0 K88
874.9796 -1.768 22.00 Ti I 29768.674 2.0 41194.374 2.0 K
Number of lines in output : 70
Parameter set used in search:
Lower wavelength limit: 849.0000 nm
Upper wavelength limit: 875.0000 nm
Lower limit on log gf: -3.000
Upper limit on log gf: 1.000
Lower limit on energy for lower level: 0.000 cm^-1
Upper limit on energy for lower level: 30000.000 cm^-1
Lower limit on energy for upper level: 0.000 cm^-1
Upper limit on energy for upper level: 100000.000 cm^-1
Element list:
N I ( = 7.00 )
Mg I ( = 12.00 )
Si I ( = 14.00 )
S I ( = 16.00 )
Ca II ( = 20.01 )
Ti I ( = 22.00 )
Cr I ( = 24.00 )
Fe I ( = 26.00 )
Co I ( = 27.00 )
Ni I ( = 28.00 )
Search program by Claas Heise (heise@fz.telekom.de), Jan 17, 1996
Utilidades: Clasificación estelar por espectros IR.
En este rango se usa una técnica de clasificación espectral a partir de ratio de líneas. Dos de los ejemplos son el cociente de Ca II de infrarrojo cercano sobre líneas de Paschen (muy útiles para clasificar estrellas B tardías, A y F); y (Ti I 8674.4 Å)/ (Fe I 8675.4 Å) (que funciona bien para la clasificación de estrellas G, K y M)
De esta ultima puede deducirse el valor de la temperatura efectiva:

Donde R es el valor resultante del cociente.

Fig. 5 Uso de los los cocientes previos para el diagnostico de temperaturas. A la izquierda, diferentes valores de los anchos equivalentes de las líneas de Paschen del Hidrogeno y de la línea de Ca II para estrellas de distinta Teff. A la derecha, la curva del cociente entre Ti I y Fe I en relación con la Teff de una estrella.
De forma similar, pueden usarse los cocientes de los anchos equivalentes de distintas líneas para medir la gravedad superficial / la clase de luminosidad de una estrella. Por ejemplo, para estrellas G5 puede usarse el cociente (Si I+ Fe I 8728Å)/(Mg I 8736Å). Donde el valor de la gravedad superficial de la estrella estará dado por:

Donde R nuevamente representa el resultado de el nuevo cociente dado.

Fig. 6 (Izquierda) Se muestra cómo varia el ancho equivalente de la linea de Ca II 8542 Å para una estrella G8 a distintos valores de Log(g). (Centro) Vemos la variación de la linea de Paschen 14 para una estrella A0 para valores de Log(g) entre 2.0 y 4.5. (Derecha) Vemos los valores que toma el cociente de los anchos equivalentes dado para distintos valores de Log(g) en una estrella G5, con marcas especiales donde se distinguen las clases de Enanas (V) a Supergigantes (Ib).
También es importante ser consiente del efecto de la metalicidad propia de las estrellas para el estudio de los espectros, la cual modifica la intensidad de las líneas. En el trabajo GAIA Spectroscopy and Radial Velocities (U. Munari (2002))[3] se hace ejemplo con una estrella G5 III, la cual presenta una importante desaparición de líneas a menor metalicidad, exceptuando las de Ca II que permaneces muy saturadas, lo que permite una precisa medición de velocidades precisas.

Fig. 7 Medidas del espectro de estrellas G5 III con diferentes metalicidades. Notemos como en la superior la metalicidad es menor, pero aun así las líneas de Ca II permanecen bien marcadas.
En el trabajo GAIA Spectroscopy and Radial Velocities (U. Munari (2002))[3] se menciona que, al momento de realizarse, se evaluaba la posibilidad de realizar análisis químico en los espectros obtenidos y estimar las metalicidades a partir de índices de color.
Utilidades: Estimación de velocidades radiales y Peculiaridades.
Otra propiedad de las estrellas que puede medirse espectroscópicamente es la velocidad de rotación proyectada Vp=Vrot x sen(i). En el caso del espectro IR, las líneas de Paschen y de Ca II funcionan bien para medir velocidades altas de rotación, mientras que otras líneas más débiles no funcionan para velocidades superiores a 40km/s, como se ve en la Fig. 8

Fig. 8 Diversos espectros teoricos para velocidades de rotacion de 0 a 400 km/s
Aparte de esto, el rango de 8490 a 8750 Å presenta buenas capacidades de detección hacia estrellas peculiares. Las estrellas de tipo Be muestran líneas de emisión Paschen y He I fuertes y variables, cuyo perfil traza condiciones dentro del disco circunestelar. Estrellas calientes que pierden masa (tipo P-Cyg) presentan líneas de Paschen y He I con el perfil de emisión / absorción característico que se puede modelar para derivar la tasa de pérdida de masa. Perfiles de Ca II muy anchos y brillantes (y normalmente Paschen más débil) permiten rastrear la rápida expansión de la eyección de novas.
Por otro lado, los espectros de estrellas binarias que interactúan ofrecen una visualización fina sobre el espectro 8490 a 8750 Å. Las estrellas simbióticas suelen presentar líneas de emisión Paschen, Ca II fuertes y He I más débiles, mientras que en algún otro caso se puede observar el espectro de absorción desnudo del gigante frío sin contaminacion de la compañera.
Las mismas líneas de Ca II, Paschen y H I se presentan en el espectro de la estrella de rayos X, acompañados de complejas líneas de emisión. Entre otras.

Fig. 9 Se muestran los espectros de diversas estrellas peculiares. Podemos señalar la estrella HR 6118, la cual presenta, como dijimos arriba, fuertes líneas de Paschen 13 y 14, la ultima la cual se combina con la linea de He I en ~8600 Å.
Utilidades: Medio interestelar y emisión en IR.
Para discutir la espectroscopia IR del medio interestelar, primero hay que conocer un poco de la absorción molecular en el infrarrojo. En "Handbook of Infrared Astronomy" [4] podemos encontrar una detallada explicación de la absorción en varias bandas moleculares:
-
CO:
La alta energía de disociación de la molécula de CO asegura que los átomos de C y O se combinen hasta que uno u otro se agote.
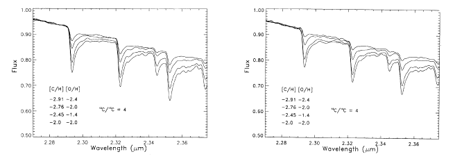
Si la cantidad O es considerablemente menor que la cantidad C, la estrella será un tipo M dominado por compuestos del oxígeno sobrante (TiO SiO y H2O). Si la cantidad de O supera la cantidad de C, la estrella será un tipo C dominado por compuestos de carbono sobrante (C2 CN, CH, HCN y C2H2). Si la cantidad O y la cantidad C son similares, la estrella será de tipo S dominada por moléculas menos abundantes.

Fig. 10 Espectros sintéticos con igual abundancia de O y C, y distintos valores de temperatura/log g/[A/H]
(A la izquierda, 4200/1.00/-2.0. A la derecha, 4300/1.00/-2.0)
Las bandas de las vibraciones del CO de ν=1-0 (47000 Å), ν=2-0 and ν=3-1 (23000 Å), ν=3-0 and ν=4-1 (16500 Å) afectan fuertemente a las estrellas K y tipos más tardíos. En estrellas enanas, por ejemplo, el CO empieza a detectarse a partir de 6500ºK.
-
H2O:
El vapor de agua domina el espectro infrarrojo de estrellas muy frías como las M tardías. Es de esta hipótesis los autores Allard, F., Hauschildt, P. H., Miller, S., & Tennyson, J. estimaron las temperaturas efectivas y los radios comparables a los modelos teóricos [5]
-
SiO:
SiO tiene su máximo en ~79000 Å . El primer "sobretono" de vibración es de ~ 41000 Å. Su banda fundamental aumenta en fuerza con el tipo espectral, sus efectos se notan en G8 III y aumentan a K5 III, siendo estable hasta tipos M tardíos.
-
H2:
La molécula de H2 no puede irradiar mediante procesos dipolares. Sin embargo, se puede "aliviar" en condiciones de alta presión y colisiones de H2 con H2 o He o H. Esto aumenta las posibilidades de interacciones con fotones. Estos procesos son importantes en atmósferas de alta gravedad de enanas rojas y marrones y pueden ser una fuente dominante de opacidad atmosférica cuando la metalicidad es baja. La absorción tiene lugar en bandas anchas centradas en torno a las frecuencias normales de vibración-rotación y hacen contribuciones significativas a la opacidad entre 7000 y 40000 Å.
Ahora si, podemos describir los distintos tipos de medio interestelar.
Medio interestelar caliente
Mucho del espacio en la galaxia esta lleno con materia ionizada caliente de baja densidad (5e-3 cm-3) se calienta a temperaturas de ~5e+5 K. Este material causa muy poca extinción, radiación ionizante del UV lejano y rayos X lo atraviesa casi por completo.
Dentro del mismo medio caliente, existen zonas de mayor densidad (con temperaturas que responden a estas densidades).
Medio interestelar cálido:
Las regiones de menor densidad dentro del medio caliente son regiones de densidades de 3e-1 cm-3 y temperaturas de 10000 K. Permanecen lo suficientemente transparentes para que sus interiores sean calentados por fotones incidentes del medio caliente.
Medio interestelar "fresco":
Cuando la densidad es de 10-100 cm-3 el centro de la nube puede contener átomos neutros de H, aunque las moléculas tendrán una corta vida contra la disociación. Tiene una temperatura de ~80K y se las denomina "difusas", pueden tener polvo pero no "hielos" más fríos. El exterior de la nube consiste de medio interestelar cálido.
Cuando una fuente UV es cercana, el medio difuso se transforma en una región de fotodisociación.
Ejemplos de sustancias "relativamente refractantes" que sobreviven en el medio son los silicatos, con fuertes firmas espectroscópicas en 97000 Å y 188000 Å. Algunas señas menores aparecen en 30000 Å y 34000 Å, pueden pertenecer a H2O o compuestos con CH.
Medio interestelar frio:
A mayores densidades que 100 cm-3, los núcleos de nube permanecen resguardados de fotones cargados y presentan abundantes moléculas. Su temperatura estima 15K.
Son nubes densas que presentan hielos de larga vida. El núcleo de MIF esta cubierto por MI fresco que a su vez esta cubierto por MI cálido.
El espectro visto a través de las nubes moleculares incluye características "refractarias" como su predecesor, pero también claras líneas de absorción de agua a 30500 Å, y otras bandas de CO, CO2 y hielos de CH3OH
Regiones de Fotodisociación:
Las regiones de fotodisociación existen en las zonas de interferencia entre nubes moleculares y regiones ionizadas o H II. Aquellas con densidades mayores o iguales a 103 cm-3 y temperatura entre 100 y 1500 K radian en líneas prohibidas de estructura fina del O (630000 y 1460000 Å), C II (1580000 Å) Y Si II (350000 Å). Estas líneas son dominantes porque el H y He no tienen líneas de baja energía hábiles para enfriar el gas en estas condiciones. Este proceso se llama "Fine structure cooling".
C II en regiones fotodisociativas:
La linea de 1580000 Å es una de las más fuertes y notables líneas de emisión en la galaxia, donde es la mayor fuente de enfriamiento en regiones fotodisociativas y es muy relacionada con la emisión de polvo. El calor del gas viene de fotoelectrones emitidos por granos de polvo bombardeados en el UV, y su energía finalmente se dispersa por emisión C II.
H2 en regiones fotodisociativas:
Las nubes frías con T <100 K no irradian en las bandas de rotación-vibración de H2. Sin embargo, dos estados electrónicos por encima del estado fundamental pueden ser excitados por fotones de energía de menos de 13,6 eV (la energía de corte del campo de radiación interestelar). En aproximadamente el 10% de las desintegraciones electrónicas la molécula se deshace o se disocia. El resto termina como estados vibracionales ligados que eventualmente decaen como transiciones de rotación-vibración.
Regiones H II:
Una región H II puede ser pensada como un cuerpo de gas, principalmente H, que permanece ionizado por radiación UV de estrellas calientes cercanas. Fotones con longitud de onda más corta que 911.7 Å son suficiente para ionizar un átomo de H. Un átomo ionizado eventualmente captura un electrón y emite uno o más fotones intentando llegar al estado neutro. Dada la densidad estándar de la región H II, ningún fotón ionizante puede escaparla: Su energía se degrada en numerosos fotones de menor energía.
El espectro infrarrojo de las regiones H II puede ser dividido en dos partes: El continuo y la linea de recombinación espectral.
-
Continuo Libre-Libre y Libre-Ligado.
La aceleración y desaceleración de electrones libres en el campo eléctrico de otra partícula cargada produce radiación. Si la interacción deja al electrón libre se dice que la radiación es "libre-libre", pero si el electrón queda ligado a un átomo se dice "libre-ligado".
En una región H II la linea de emisión esta acompañada por radiación de estas fuentes. Ambas dependen del producto de la densidad al cuadrado por el volumen de la región (ne2V donde ne es la densidad de electrones y V el volumen de la región) y temperatura. El ratio intensidad de la linea- intensidad del continuo es exclusivamente dependiente de la temperatura.
Las radiación libre-ligado y libre-libre es la causa de emisión circunestelar de estrellas Be, las cuales poseen unas capas gaseosas en forma de disco ecuatorial, que pueden convertirse ópticamente densas a longitudes menores o iguales a 22000 Å
-
El espectro de recombinación
Procesos colisiónales no prestan parte significante en la despoblación de los niveles excitados en regiones H II estándar. Solo en condiciones ultra densas como en los limites de los núcleos de galaxias activas toman cierta importancia.
Los ratios de las líneas de Balmer del hidrogeno vs Hβ fueron calculados y tabulados para diversas temperaturas y densidades electrónicas posibles en regiones H II, junto con los ratios de intensidad Pascal vs Balmer y los correspondientes ratios para líneas He II. La dependencia de estos ratios para con la densidad electrónica es mucho menor que con la temperatura y en consecuencia suele ignorarse

Fig. 11 Ratio de líneas de recombinación de H I para diversas temperaturas, tabulados por Brocklehurst (1971)[6].
-
Líneas de estructura fina:
Aparte de las líneas de hidrogeno, líneas prohibidas de estructura fina se presentan en regiones H II, nebulosas planetarias y varias galaxias activas. Átomos en el mayor nivel posible de transición pueden ser des excitados ya sea por emisión de un fotón observable o por colisiones. Existe cierta densidad critica de electrones para cada transición sobre la cual la des excitación por colisión predomina sobre la radiación.
Para ne>>ne(crit), cuando solo debemos considerar procesos colisiónales, se llega al equilibrio térmico y el flujo de linea es proporcional al numero de iones en el volumen que emite (ni*dV). Cuando la dominante es la des excitación radiativa, el flujo de linea es proporcional a ni*ne*dV.
Shocks
Los choques surgen cuando el material que se mueve más rápido que la velocidad del sonido choca con un medio que se mueve más lento. La "velocidad del sonido" significa la velocidad a la que se propaga una perturbación comprensiva, con presiones de gas la fuerza restauradora. En condiciones típicas, la "velocidad del sonido" es alrededor de 1 km s-1 en material densa nube molecular (Chernoff y McKee, 1990)[7].
Los choques se dividen en dos clases:
- Los choques C (continuos) ocurren cuando la diferencia de velocidad es relativamente baja (del orden de 50 km s-1) y la energía cinética de los iones individuales es insuficiente para disociar el medio neutro. El enfriamiento de la zona de choque es principalmente en el infrarrojo, por ejemplo, en la emisión de Hγ.
- Los choques en J (jump/salto) ocurren a velocidades más altas, cuando la energía cinética es suficiente para disociar el H. La energía del choque se disipa principalmente en los rayos UV, pero este componente puede no ser detectable ya que es probable que la zona de choque esté dentro de una nube molecular detallada. Una vez más, la emisión de H molecular puede delatar su presencia. Es probable que la relación de línea observada sea similar a la observada en la emisión fluorescente en las regiones de fotodisociación, pero sus anchos serán mayores debido a la diferencia de velocidad a lo largo y dentro del choque.
Referencias
[1] Walborn, N. & Nichols, Joy & Panek, R.. (1985). International Ultraviolet Explorer Atlas of O-type Spectra from 1200 to 1900 Å. NASA Reference Publication.
[2] Atomic spectral line database from CD-ROM 23 of R. L. Kurucz.
[3] U. Munari. GAIA Spectroscopy and Radial Velocities. EAS Publications Series 2 39-54 (2002).
[4] I. S. Glass. (1999). Handbook of Infrared Astronomy.
[5] Allard, F., Hauschildt, P. H., Miller, S., and Tennyson, J., “The Influence of H 2O Line Blanketing on the Spectra of Cool Dwarf Stars”, <i>The Astrophysical Journal</i>, vol. 426, p. L39, 1994. doi:10.1086/187334.
[6] Brocklehurst, M. "Calculations of Level Populations for the Low Levels of Hydrogenic Ions in Gaseous Nebulae". Monthly Notices of the Royal Astronomical Society (1971)
[7] Chernoff , D. F. and McKee , C. F. , 1990. In Molecular Astrophysics : A Volume Honoring Alexander Dalgarno , Hartquist , T. W. (ed.) , Cambridge , p.360 .